内部控制视角下研发投入对企业绩效的影响
|
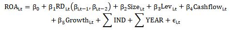
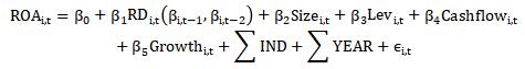
唐雨萱 (福州大学经济与管理学院,福建 福州 350108) 摘要:随着信息技术的快速发展,研发创新日渐成为企业占据市场份额的重要因素。近年来,国内外学者围绕企业研发活动开展了大量研究,但从内部控制视角探讨研发投入与企业绩效关系的研究仍显不足。本研究以2014-2023年中国A股上市公司的面板数据作为研究样本,实证检验了研发投入强度在内部控制视角下对企业绩效的影响。研究结果表明:研发投入强度对企业绩效具有显著的正向促进作用,且这种作用存在一定的滞后性,同时高质量的内部控制能够显著增强研发投入对企业绩效的正向影响。本研究期望为上市公司提供参考,助力其提升市场竞争力。 关键词:内部控制;研发投入;企业绩效;实证研究 一、引言 习近平总书记强调:“实现高水平科技自立自强、发展新质生产力,对科技创新和产业创新融合提出了更为迫切的需求。”在知识经济时代,创新已成为企业保持竞争优势、维持市场地位的关键所在。研发投入作为企业创新的重要驱动力,其强度直接影响着企业的创新能力和竞争力[1]。然而,研发投入的高风险性和不确定性使得企业在制定研发决策时面临诸多挑战。在此背景下,内部控制作为企业风险管理的重要机制,对研发投入的效果和效率起着关键作用。高质量的内部控制能够有效提升研发投入的转化效率,保障企业可持续发展。 本文从内部控制视角出发,对研发投入强度对企业绩效的影响机制展开探讨,有重要的理论与实践价值。理论层面,过往研究虽对企业创新和绩效有所探讨,但在内部控制、研发投入及企业绩效三者关系的综合研究上有所不足。本文借助理论推导与实证分析,为理解三者间的内在关系开辟全新视角,有望推动相关理论进一步完善发展。实践方面,当前市场竞争愈发激烈,上市公司面临诸多挑战,亟需优化研发投入决策、完善内部控制体系。本文研究结果有望为上市公司提供切实可行的参考,助力其精准配置研发资源,提高创新效率与竞争力,实现长期稳定发展。 二、文献综述及研究假设 1.研发投入与企业绩效 研发投入强度对企业绩效的影响是近年来学术界关注的热点问题,主流研究普遍认为,研发投入对企业绩效产生显著的正向影响。通过对518份高科技新创企业问卷进行实证研究,葛晶发现研发强度的提升对高科技新创企业绩效具有积极的促进作用[2]。Chaiporn Vithessonthi等选取1990-2013年非金融公司的面板数据作为样本,发现二者间显著正相关[3]。然而部分学者指出,研发投入与企业绩效之间可能存在非线性关系,过度研发投入可能导致资源浪费和效率低下。郑明贵等运用固定效应模型进行分析,发现研发投入对企业高质量发展存在滞后影响,二者呈倒U形关系,当研发投入强度超过13.57%时,反而会对企业的高质量发展造成阻碍[4]。基于上述分析,本文提出假设: H1:研发投入强度对企业绩效具有正向促进作用,且该作用具有滞后效应。 2.内部控制与企业绩效 内部控制作为企业风险管理的重要机制,近年来在提升企业绩效方面的积极作用得到了广泛验证。周宝琴的研究成果显示,切实有效地执行内部控制,有助于降低企业运营风险,提高资源利用效能,进而对企业的经济绩效产生影响[5]。在A股市场中,内部控制对企业绩效的促进作用格外突出。侯冰以2007-2018年沪深A股11829家上市公司为研究对象,通过实证分析得出内部控制与企业绩效显著正相关的结论[6]。高质量的内部控制能够优化资源配置、降低代理成本,从而提升企业经营效率,增强竞争力。基于上述分析,本文提出假设: H2:内部控制质量对企业绩效具有正向促进作用。 3.研发投入、内部控制与企业绩效 近年来,学者们逐渐关注到内部控制在研发投入与经营绩效关系中的调节效应。就高新技术企业而言,唐华等发现研发投入对创新绩效的影响度在不同有效程度的内部控制质量下存在差异,高质量的内部控制体系可以有效提升创新绩效[7]。黄晓艳通过对内部控制下企业创新能力提高的经济后果进行检验,发现创新水平的提升有利于提高企业的盈利能力和市场价值[8]。作为企业治理机制的重要组成部分,内部控制不仅能够降低研发活动中的代理成本和信息不对称,还可以通过优化资源配置、提高管理效率等途径影响研发投入的经济效果。基于上述分析,本文提出假设: H3:内部控制质量对研发投入强度与企业绩效的关系具有正向调节作用。 三、研究设计 1.数据来源 本文选取2014-2023年我国A股上市公司的面板数据作为研究对象,所用数据主要来源于国泰安数据库(CSMAR)。内部控制指数采用深圳市迪博有限公司编制的“迪博内部控制指数”,该指数综合衡量了上市公司的内部控制水平及风险管理能力。为保证数据质量,本文对ST、ST*、金融行业和数据缺失的上市公司样本进行了剔除。同时,本文在1%和99%的水平上对连续变量进行了缩尾处理,以规避极端值对回归结果产生的较大干扰。最终得到1297家企业12970个有效观测值。 2.变量说明 (1)被解释变量 参照杨圣豪等人的研究,本文选用总资产净利率(ROA)作为企业绩效的衡量指标[9]。总资产净利率(ROA)反映了企业利用其全部资产创造净利润的能力,能够客观评估企业的资产管理效率和盈利水平。作为相对指标,总资产净利率(ROA)便于进行不同规模企业之间的横向比较,是衡量企业管理水平和财务绩效的重要工具。 (2)核心解释变量 本文选取研发投入强度(RD)作为核心解释变量,用于衡量企业在研发活动中的资源投入水平[10]。研发投入强度(RD)以研发支出与总资产的比值来计算,消除了企业规模差异的干扰,使得不同企业之间的研发投入具有可比性。这一指标能够有效反映企业对技术创新的重视程度,是评估企业创新能力的关键指标。 (3)调节变量 本文采用迪博内部控制指数作为内部控制质量(ICQ)的衡量指标,为消除异方差性对其取自然对数。迪博内部控制指数综合考虑了内部控制的五大要素,能够全面、精准地反映企业的内部控制水平。高质量的内部控制能够优化资源配置、降低代理成本,从而在一定程度上对研发投入强度对企业绩效的影响产生调节作用,提升研发投入的效率和效果。 (4)控制变量 为控制其他因素对企业绩效造成的潜在影响,选取企业规模(Size)、资产负债率(Lev)、现金流比率(Cashflow)和营业收入增长率(Growth)作为本文的控制变量。为反映样本企业之间的规模差异,企业规模(Size)采用企业总资产的自然对数进行测度;资产负债率(Lev)体现企业的财务杠杆水平和风险状况,较高的资产负债率可能增加企业的财务风险,影响绩效表现;现金流比率(Cashflow)是衡量企业财务健康状况的关键指标之一,良好的现金流有助于企业应对突发情况、进行投资及偿还债务,将其作为控制变量能够评估现金流对企业绩效的潜在影响;营业收入增长率(Growth)用于衡量企业营业收入的年度增长情况,能够反映企业经营活动的增长趋势和市场表现,可能对企业绩效产生直接或间接的影响。具体变量说明见表1。 表1 变量定义 ![]() 3.模型设定 为验证假设H1的合理性,本文采用双向固定效应模型控制行业与年度效应,在引入企业规模(Size)、资产负债率(Lev)、现金流比率(Cashflow)和营业收入增长率(Growth)等控制变量的基础上,首先检验了研发投入强度(RD)对企业绩效(ROA)的直接影响。考虑到研发投入强度在时间上具有滞后性,又进行了滞后一期与滞后二期的动态分析,构建模型(1)如下:
(1)为验证假设H2、H3的合理性,首先将内部控制质量(ICQ)作为核心解释变量引入回归模型,检验其对企业绩效(ROA)的主效应作用,在此基础上构建研发投入强度与内部控制质量的交乘项(RD×ICQ),检验内部控制质量(ICQ)的调节效应作用,构建模型(2)、(3)如下: (2) (3)四、实证分析 1.描述性统计分析 变量描述性统计结果如表2所示。被解释变量企业绩效(ROA)的均值为0.0383,最大值为0.2384,最小值为-0.3612,反映出A股上市公司在收益情况上差距明显,发展速度不均衡。解释变量研发投入强度(RD)的均值为0.0248,说明A股上市公司的研发投入强度总体处于正常水平,但其最大值为0.1333,而最小值则为0.0002,意味着研发投入强度存在不均衡、差距大的特点。同时内部控制质量(ICQ)的最大值为6.7472,最小值为5.7421,表明各A股上市公司在内部控制质量上存在明显落差,部分公司仍有较大提升空间。 表2 变量描述性统计结果 ![]() 2.相关性分析 表3呈现了各变量之间的相关系数矩阵。数据显示,研发投入强度(RD)与企业绩效(ROA)的相关系数为0.068,呈显著正相关关系,表明提高研发投入能够促进企业绩效提升;内部控制质量(ICQ)与企业绩效(ROA)的相关系数为0.339,二者显著正相关,说明高质量内部控制体系对企业绩效具有显著提升作用;企业绩效(ROA)与企业规模(Size)、资产负债率(Lev)、现金流比率(Cashflow)及营业收入增长率(Growth)4个控制变量均具有显著的相关关系,体现了本文所选控制变量的科学性。本文进一步开展了方差膨胀因子(VIF)检验。结果显示,VIF最大值为1.51,总体VIF值为1.20,说明模型不存在严重多重共线性问题,能够有效保证后续回归分析的可靠性。 表3 相关性分析结果 ![]() 注:括号内数字为t统计量的值,***、**、*分别表示在1%、5%、10%水平上显著。 3.回归结果分析 (1)基准模型回归结果 基准回归结果如表4所示。可以看出,当期研发投入强度(RD)的回归系数为0.258,通过了1%的显著性水平检验,表明研发投入强度的增大有利于企业绩效的提升。考虑到研发投入强度(RD)的影响可能存在时间上的滞后性,本文进一步检验了滞后一期以及滞后二期的情况。结果显示,滞后一期假和滞后二期的回归系数分别为0.379和0.385,均说明研发投入强度(RD)与企业绩效(ROA)为显著正相关关系。假设H1得到验证。 表4 研发投入强度与企业绩效回归结果 ![]() 注:括号内数字为t统计量的值,***、**、*分别表示在1%、5%、10%水平上显著。 (2)调节效应检验 表5为内部控制质量调节效应的检验结果。根据模型(2),内部控制质量(ICQ)与企业绩效(ROA)的回归系数为0.131,通过1%显著性水平检验,说明内部控制质量能够正向增强企业绩效。假设H2得到验证。 模型(3)的回归结果显示,交乘项(RD×ICQ)与企业绩效(ROA)的回归系数为1.413,两者显著正相关,这一结果验证了内部控制质量在研发投入强度影响企业绩效的作用路径中存在显著的正向调节效应。假设H3得到验证。 表5 内部控制质量与企业绩效回归结果 ![]() 注:括号内数字为t统计量的值,***、**、*分别表示在1%、5%、10%水平上显著。 4.内生性检验 针对反向因果关系可能导致的内生性问题,参考阳秋林等的研究[11],选择研发投入强度的滞后一期(L.RD)作为工具变量,采用两阶段最小二乘法(2SLS)进行检验,结果如表6所示。Kleibergen-Paap rk LM统计值为9764.141,通过1%显著性水平检验,Cragg-Donald Wald F统计值为60000,大Stock-Yogo检验10%水平的临界值,表明所选工具变量不存在不可识别和弱工具变量问题。研发投入强度与企业绩效仍在1%水平下显著正相关。研发投入强度对企业绩效依然为显著促进作用,证明本文结论的稳健性。 表6 内生性检验回归结果 ![]() 注:括号内数字为t统计量的值,***、**、*分别表示在1%、5%、10%水平上显著。 5.稳健性检验 为保证研究结果的可靠性,本文采用变量替代法开展稳健性检验,基于原有模型框架,选取资产收益率(ROE)替换总资产净利率(ROA)作为核心解释变量重新进行回归分析。由表7稳健性检验回归结果可以得出,研发投入强度(RD)与替代变量资产收益率(ROE)间依然呈现正向关联性。这表明即使对被解释变量进行替换调整,核心变量间的作用关系依然稳定存在。由此能够充分证明,本文的实证结果具有较强稳健性的特征。 表7 稳健性检验回归结果 ![]() 注:括号内数字为t统计量的值,***、**、* 分别表示在 1%、5%、10% 水平上显著。 五、结论与启示 本文以2014-2023年A股上市公司的面板数据作为样本,从内部控制视角出发,深入探讨了研发投入强度对企业竞争力的影响。研究发现,研发投入强度对企业绩效具有显著的正向促进作用,且这种作用存在一定的滞后性,同时高质量的内部控制能够显著增强研发投入对企业绩效的正向影响。基于上述研究结果,本文得到以下启示: 一是重视研发投入,夯实发展根基。考虑到研发投入具有特殊性与滞后性的特点,企业应将其视为长期战略的核心部分,设立专门的研发预算管理部门,结合企业自身的市场定位、产品的生命周期以及行业的技术发展趋势,制定科学合理的研发投入计划。同时建立研发投入成效评估体系,定期开展评估工作,及时调整研发策略,切实提升企业竞争力,进而获得更高的企业绩效。 二是完善内部控制,护航研发全程。企业应当构建一套完整且精细的内部控制体系:在研发项目立项阶段,设立严格的可行性评估程序,组织技术专家、市场分析师以及财务专业人士对项目的技术可行性、市场前景和财务效益进行全面评估;在研发过程中,强化对研发资金使用的监管,建立详细的资金使用台账,确保资金专款专用,杜绝资金浪费现象。 三是监管部门引导,优化创新生态。监管部门可借助制定税收优惠政策、给予研发补贴等举措,鼓励企业增加研发投入。监管部门也应出台详细的内部控制指南,针对不同规模及不同行业的企业,提供切实可行的内部控制建设标准和规范。并定期组织开展内部控制培训及经验交流活动,引导企业构建完善的内部控制体系,为企业创新活动营造良好的制度环境。 参考文献: [1]董文婷,张靖佳,王伟楠,等. 互补效应下企业研发投入与创新能力的相互关系研究[J]. 科研管理,2024,45(9):155-165. [2]葛晶. 高科技新创企业研发强度、网络关系与企业绩效——基于创新一致性的调节效应研究[J]. 经济纵横,2023(4):69-78. [3]CHAIPOM Vithessonthi. Short and long run effects of internationalization and R&D intensity on firm performance[J]. Journal of Multinational Financial Management, 2016(34):28-45. [4]郑明贵,范秋蓉,于明. 研发投入与企业高质量发展非线性关系研究——基于组织资本的曲线调节效应[J]. 会计之友,2023(13):32-41. [5]周宝琴. 内部控制对企业经济绩效的影响研究[J]. 中国集体经济, 2024(16):37-40. [6]侯冰. 内部控制、企业绩效与非效率投资的中介传导效应[J]. 商业会计, 2021(3):55-59. [7]唐华,王龙梅,程慧玲. 内部控制有效性、研发支出与企业创新绩效——基于高新技术企业的经验数据[J]. 会计之友,2021(8):136-141. [8]黄晓艳. 内部控制对企业创新绩效的影响研究[J].财会通讯,2024(11):49-54. [9]杨圣豪,蒋仁爱,温军,等. 以"量"为先还是以"质"为主:高质量专利如何影响企业绩效? [J]. 当代经济科学,2025,47(1):74-90. [10]李强,纪佳君,曾勇. R&D投资、一般性资本支出与股票收益:增长期权的视角[J]. 管理工程学报, 2018,32(1):196-203. [11]阳秋林,刘婕,唐洋. 研发投入、碳排放权交易与企业绩效——来自碳交易试点省市沪深A股上市公司的经验证据[J]. 财会通讯,2023(1):60-65. |

下一篇:没有了





(1)
(2)
(3)





服务型领导对知识
内部控制视角下研
工作场所数字化感
工会实践是否促进
商业银行人力资源
大五人格对员工创
高参与人力资源实