有序logit模型下消费者特征与品牌特征对老字号联名产品购买意愿
|
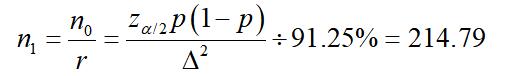
陈诗涵 陈玥 (南京邮电大学,江苏 南京 210046) 摘要:在全球市场竞争加剧、新兴品牌冲击猛烈、消费者需求多元化背景下,老字号品牌通过品牌联名等品牌延伸方式进行转型升级,寻求新的发展机遇。旨在分析消费者特征与品牌特征对老字号联名产品购买意愿的影响,文章采用了问卷调查的方法来收集数据,并基于有序logit回归模型,从消费者和品牌特征两个层面探究老字号联名产品购买意愿的影响因素。结果显示:月可支配收入、消费观开放度、年龄、感知创新性、联名知名度是消费者购买意愿的重要影响因素,而老字号依赖度对其的影响并不显著。 关键词:老字号;品牌联名;有序logit分析;消费者购买意愿 一、引言 老字号品牌指的是具有悠久历史、源远流长的品牌,这些品牌通常具有原创性、正宗性、历史延续性等特征[1]。然而,随着经济环境的变化,老字号品牌也面临着市场环境与技术环境双重变迁的挑战,产品创新缓慢、运营模式僵化等诸多原因使得老字号企业的市场认可度和品牌价值日益下降[2],部分老字号企业陷入了发展瓶颈。为弘扬传统文化、传承工艺技艺,政府和社会日益重视起对老字号品牌的保护与发展,商务部等8部门联合发表了《关于促进老字号创新发展的意见》,各界也积极响应《意见》,以北京市为例,为促进北京市老字号创新发展,进一步挖掘老字号潜力,北京市商务局等九部门共同制定了《进一步促进北京老字号创新发展的行动方案(2023-2025年)》。 老字号品牌的传统定位和价值主张使得老字号企业在推出新品牌时存在较高的不确定性风险,但事实层面,老字号品牌正面临价值固化瓶颈期,品牌活化是应对衰退与固化问题的有效路径[3],品牌价值创新为老字号品牌活化提供了选择[4]。根据品牌价值迁移理论和现有研究,认为老字号品牌可以通过品牌延伸和价值链扩张构建新的品牌组合,实现价值升级[5]。 老字号品牌具有如下独特发展优势:文化属性与辨识度高[6]、较高的知名度与美誉度、品牌形象具有排他性等。根据前人的理论和对当下市场的分析,老字号品牌的新时代发展路径最重要的便是“变”与“不变”这两点[7]。而老字号的品牌延伸则谓之“变”,即借助现有品牌进入新的业务领域或推出新产品,利用消费者对品牌的良好感知、品牌态度和爱屋及乌心理,去撬动现有品牌建立起来的顾客资产,降低新产品采用新品牌上市的营销费用和风险,提高成功率。 品牌联名是实现品牌延伸、活化老字号品牌的有效方式,本文基于老字号品牌当前发展趋势与消费者购买习惯,深入探讨消费者对老字号联名商品的购买意愿受到哪些因素的影响。通过实证研究构建理论路径,实证分析消费者特征与品牌特征对老字号联名产品购买意愿的影响,并根据实证结论提出针对性的建议,旨在为老字号企业联名产品的客户选取、发展路线提供思路。 二、理论基础与研究假设 1.理论基础 在消费者行为研究领域,购买意愿模型是理解消费者决策过程的重要工具。目前较为主流的购买意愿模型为理性行为模型(TRA)、计划行为模型(TPB)、技术接受模型(TAM)和刺激-机体-反应模型(SOR)。这些模型从不同角度解释了消费者行为的形成机制,为营销实践提供了理论支持。根据研究课题的特点,本研究依照适用于营销分析的SOR模型。SOR理论是融合心理学、行为学、营销学等领域的理论框架,最早由Lazarus提出,并被广泛应用于消费者行为研究中。该模型的核心观点是,外部环境因素(刺激)会引起个体内部的心理状态变化(机体),进而导致个体产生相应的决策或行为(反应)。在购买意愿研究中,外部刺激包括商品特征、社会文化、参照群体等环境因素;机体则代表具有独有消费特质的消费者个体,消费者在面对外部刺激时,会根据自身的心理状态、认知能力和过往经验对刺激进行筛选、解释和评估,机体内部的主要因素可能包括消费者特征、认知与情感反应、以往经验与学习;反应即机体对刺激做出的回应,在购买意愿研究中表现为消费者的购买意愿和购买行为,购买意愿是指消费者在特定情境下对购买某产品的主观意图,而购买行为则是购买意愿的实际体现。 SOR模型强调,消费者的购买意愿和行为是其对外部刺激和内部心理状态综合评估的结果,例如,当消费者对老字号联名产品的外部刺激产生积极的认知和情感反应时,他们更有可能表现出强烈的购买意愿,并最终完成购买行为。 2.研究假设 根据SOR模型的理论基础,认为在老字号联名产品的消费过程中,品牌联名行为形成SOR理论中的“刺激”,并作用于消费者的感知,消费者基于自身特征处理“刺激”后形成购买意愿并做出购买决策。 消费者特征是指个体在消费过程中所表现出的稳定的心理和行为特质,包括人口统计学特征(如年龄、性别、收入水平)、心理特征(如消费观开放度、个性倾向)以及消费行为特征(如购买习惯、品牌忠诚度等)。根据SOR模型,消费者特征构成了“机体”(Organism)的核心部分,决定了消费者对外部刺激的感知、处理和反应方式。因此,我们做出假设: H1:消费者特征对老字号联名产品购买意愿产生显著影响。 品牌特征是指与品牌相关的各种属性和特性,包括品牌知名度、品牌形象、品牌文化、产品创新性以及联名合作的知名度等。在SOR模型中,品牌特征构成了外部刺激(Stimulus)的重要组成部分,直接作用于消费者的感知系统。消费者对这些品牌特征的感知和评价将影响其对联名产品的购买意愿。因此,我们做出假设: H2:品牌特征对老字号联名产品购买意愿产生显著影响。 三、研究方法与问卷设计 1.调查问卷设计 本文采用问卷调查法,问卷设计基于对老字号联名产品消费行为的深入理解,结合文本挖掘和深度访谈的结果,确保问卷内容科学合理、针对性强。通过问卷调查,我们能够获取消费者的基本特征、对老字号联名产品的认知与评价,以及在不同场景下的购买意愿,从而为后续的数据分析和研究假设验证提供坚实的数据基础。采用显示性偏好(RP)和陈述性偏好(SP)相结合的方式开展调研问卷设计,RP调查用于获取消费者的基本特征,包括性别、年龄、职业、月可支配收入、学历、消费观开放度、消费决策倾向等。SP调查则根据老字号联名产品的知名度、创新感知性、原有依赖度等因素预设多个假定场景,调查多个场景下老字号联名产品消费者的购买意愿。 2.预调查与正式调查 预调查是在正式大规模调查前开展的小规模、试探性的研究活动。通过预调研检查问卷题目的设计是否合理,可以确保调查结果的正确性。面向不同地区、不同性别、不同学历的人群,发放预调查问卷80份,共回收73份问卷,回收率为91.25%,具有一定的代表性,能代表总体的基本情况。调查中总体量表Cronbach’s α系数值为0.945,且量表各项目Cronbach’s α系数值均大于0.7,说明修正后的问卷数据信度质量良好。调查中Bartlett球形检验结果的近似卡方值为1520.88,P值在0.01以下,KMO值为0.800,表明调查问卷效度质量良好。上述结果表明,调查问卷数据的信效度均较高,可以进行正式调查。 针对老字号联名产品消费者分布广泛、类型多样的实际特征,研究采用网络问卷调研的方式开展样本收集,以获取全国不同地区的消费者信息。 对于最终样本量的确定,具体的计算方式如下: 取最大允许误差Δ=7%,置信度1-a=95%,Za/2=1.96,p=0.5,根据预调查的有效问卷回收率为91.25%,由此可得: ![]() 向上取整n1=215,因此最终确定发放问卷数量为215份。由于问卷通过问卷平台进行线上发放,所以会出现同一个受访者重复填答的情况,因此对IP地址进行筛选,对于相同IP地址的问卷,只保留其中一份,其余的视为无效问卷进行剔除。最终共筛选出15份无效问卷,回收有效问卷200份,总回收率达到93.02%。 四、实证结果与分析 1.描述性统计分析 在本次调查中,调查对象的性别比较为均衡,其中女性受访者的比例为58.5%,男性受访者的比例为41.5%。从年龄层面。受访者中16-25岁的人数占比为48%,是受访的主要群体,15岁及以下占比为4.5%,26-35岁占比为17%,36-45岁占比为17%,46-55岁占比为11.5%,56及以上占比为2%。学历层面上,受访者中大多数是大学本科学历,占比为64%,研究生及以上学历占比为5%,大学专科学历占比为17%,高中/中专学历占比为8%,初中及以下学历占比为6%。在可支配收入的调查中各个层次的消费群体都有涉及,可支配收入在1000-2000元的人数最多,占比为31 % ;月均消费2001-4000元的人数位居第二,占比为24%;月均消费6001及以上元的占比为20%。 2.信度与效度分析 本次调查采用Cronbach’s α值检验内部因子的有效性。由表可知,正式调查中总体量表Cronbach’s α系数值为0.960,且量表各项目Cronbach’s α系数值均大于0.85,说明修正后的问卷数据信度质量良好。 表1 正式调查Cronbach’s α系数表 ![]() 采用KMO值进行综合分析,正式调查中Bartlett球形检验结果的近似卡方值为4214.866,显著性概率为0.000,KMO值为0.921,说明正式调查问卷效度检验质量较好。 表2 正式调查适合性检验结果表 ![]() 此外,正式调查中各题项提取的共同度均超过0.5,通过了效度检验,说明研究项信息可以被有效的提取。 3.有序logit回归模型 (1)模型构建 老字号品牌要实现转型、激发市场活力,创新是必不可少的,而品牌联名则是老字号提振新兴市场、开发客户人群的举措之一。旨在为老字号企业联名产品的客户选取、发展路线提供思路,以达到最佳的市场效果,以“消费者尝试老字号联名产品后对该老字号一般产品的购买意愿”为因变量建立回归模型,探究各因素对其的影响。采用调查问卷获取的消费者购买意愿数据作为解释变量,其中排除了从未购买任何联名产品的受访者以及无法被度量的其他选项。 解释变量是购买意愿,是具有强弱顺序的有序多分类变量,相较于二元logit回归,有序回归更适应于有序离散变量下的研究,因此本文采用有序Logit回归模型进行分析。 为了准确了解消费者特征与品牌特征对老字号联名产品购买意愿的影响,调查问卷中以消费者购买意愿的高低为被解释变量,设置“购买意愿低”“购买意愿较低”“购买意愿较高”“购买意愿最高“4种选择,变量赋值1-4如式(1),得分高低反应消费意愿的高低,得分越高消费意愿越高。 以消费者的年龄、消费者的消费观开放度、品牌知名度等作为解释变量,有序Logit模型如式(2)所示。其中,当自变量类别大于2时,对模型引入n-1个虚拟变量,以便模型求解分析。 ![]() 根据本研究的理论基础,消费者购买意愿可能受到消费者特征和品牌特征的影响。 ①消费者层面影响因素。认为消费者的年龄、收入水平及消费观开放程度对购买意愿有影响。 ②品牌层面影响因素。认为联名知名度、消费者对老字号品牌的依赖度及产品的创新性有影响。 该文基于理论分析并结合实际问卷回收情况,变量设置如表3,为简化表达,在后文中用“老字号依赖度”指代“消费者对老字号品牌的依赖度”。 表3 变量设置表 ![]() (2)模型实证结果 对模型进行膨胀因子检验,所有变量的方差膨胀因子(VIF)均小于10,说明变量间不存在多重共线性。如表4所示。 表4 共线性诊断 ![]() 对模型整体有效性进行分析即模型似然比检验,从表5可知:原定假设为将自变量放入模型或从模型中移除,对整个模型的解释力或预测准确性没有产生任何,而分析显示拒绝原假设(chi=26.464,p=0.000<0.05),即说明本次构建模型时,放入的自变量具有有效性,即本次模型构建有意义。 表5 有序logit回归模型似然比检验 ![]() 在确定模型有意义后,我们开始进行有序logit模型分析,以下是分析结果汇总: 表6 有序logit回归模型分析结果汇总 ![]() McFadden R 方:0.071 Cox 和 Snell R 2:0.157 Nagelkerke R 2:0.173 从上表可知,将消费观开放 度、月可支配收入、年龄、消费者对老字号的依赖度、联名知名度和老字号创新性共6项为自变量,而将购买意愿作为因变量进行有序logistic回归分析,从上表可以看出,模型伪R平方值为0.071,意味着消费观开放度、月可支配收入、年龄、消费者对老字号的依赖度、联名知名度和老字号创新性可以解释购买意愿的7.1%变化原因。 最终具体分析可知:消费观开放度、消费者年龄、联名知名度、老字号创新性会对购买意愿产生显著的正向影响关系,月可支配收入会对购买意愿产生显著的负向影响关系。但是老字号依赖度并不会对购买意愿产生影响关系。 (3)模型实证结果分析 ①消费观越开放的消费者对老字号联名产品的购买意愿越高。 研究结果表明该变量对购买意愿存在显著正向影响关系,与假设H1一致。消费观越开放的消费者越愿意尝试新产品,他们会因为好奇心或受营销场景影响购买产品或做下购买产品的决定。这类人群是联名营销的目标群体,这样看来老字号联名的市场策略是比较有效的。 ②年龄越大的消费者对老字号联名产品的购买意愿越高。 研究结果表明该变量对购买意愿存在显著正向影响关系,与假设H1一致。老字号面临的转型难、市场难以开拓的一部分原因就是年轻人相对缺乏老字号意识和老字号情怀,他们更习惯于当代流行品牌。故而年龄越小对老字号产品的购买意愿往往不如年龄较大的消费者。这正是老字号面临的挑战。 ③月可支配收入越高的消费者对老字号联名产品的购买意愿越低。 研究结果表明该变量对购买意愿存在显著负向影响关系,与假设H1一致。在初期假设中,认为部分老字号对消费者的个人消费能力有一定要求,如茅台、老凤祥等,月可支配收入高的消费者往往是这类老字号产品的直接顾客,也有更强的消费意愿。但结果显示月可支配收入对购买意愿有负向影响关系,认为这可能是由于月可支配收入较高的人群有更谨慎的消费习惯。 ④联名知名度越高,消费者对老字号联名产品的购买意愿越高。 研究结果表明该变量对购买意愿存在显著正向影响关系,与假设H2一致。在典型的消费者购买行为中,消费者只会考虑少数几个品牌,而有较高知名度的品牌更容易被放置于消费者选择名单中。联名产品越知名,消费者受其影响越大,越愿意购买该联名产品对应老字号品牌的一般产品。 ⑤产品创新性越高,消费者对老字号联名产品的购买意愿越高。 研究结果表明该变量对购买意愿存在显著正向影响关系,与假设H2一致。当前,网络高度发达,信息更迭快,消费者对产品创新性的接受度普遍较高。在调查中我们发现老字号产品的创新性对消费者购买意愿有正向影响,为企业传达出重视创新的发展信号。 ⑥对老字号的依赖度不会对购买意愿产生影响。 研究结果表明该变量对购买意愿不存在显著影响关系,拒绝假设H2。老字号依赖度并没有呈现出显著性,表明消费者对老字号产品的依赖度并不会对购买意愿产生影响关系,这说明并非越依赖老字号产品消费者对老字号的购买意愿就越强。 五、研究结论与对策建议 1.研究结论 本研究旨在探讨消费者特征与品牌特征对老字号联名产品购买意愿的影响。通过问卷调查法,结合显示性偏好(RP)和陈述性偏好(SP)的调研设计,收集了全国范围内消费者的特征数据以及其对老字号联名产品的购买意愿。基于刺激-机体-反应(SOR)模型的理论框架,确定回归分析的各项解释变量。通过有序Logit回归分析结果,得出消费者特征和品牌特征对老字号联名产品的购买意愿均具有显著的正向促进作用的结论,具体而言: 消费者特征:年龄、月可支配收入、消费观开放度等因素对购买意愿的影响路径清晰。其中,消费观开放度和消费决策倾向对购买意愿的促进作用更为显著。这表明老字号品牌在制定联名策略时,应重点关注消费观开放度较高的年轻群体和冲动型消费者,通过创新的营销手段和产品设计吸引其注意力。 品牌特征:联名知名度、产品创新性对购买意愿的正向影响尤为突出。相比之下,老字号依赖度的影响并不显著。这说明在联名产品推广中,品牌需通过创新设计和高知名度的合作方来提升产品的吸引力,而不仅仅是依赖于老字号品牌的历史价值。 2.对策建议 基于上述研究结果,为促进老字号品牌在联名产品方面的发展,从以下几个方面提出对策建议: (1)针对消费观开放度高的人群加大营销力度 老字号企业在进行联名产品推广时,应重点关注消费观开放的消费者群体。利用社交媒体、线上线下活动等多元化渠道,针对这部分人群开展精准营销。例如,在小红书、抖音等平台上与知名博主合作,推出创意联名产品试用分享活动,吸引消费观开放的消费者关注,激发他们的购买欲望。 设计具有独特创意和文化融合的联名产品营销场景,如举办沉浸式的老字号联名产品体验展览,将产品展示与文化体验相结合,增强消费者的好奇心和参与感,促使他们更愿意尝试购买老字号联名产品。 (2)吸引年轻消费者 针对年轻人相对缺乏老字号意识和情怀的问题,老字号品牌应积极开展年轻化营销策略。在产品设计方面,结合年轻人喜爱的时尚元素、流行文化与老字号的传统工艺和文化底蕴,打造兼具传统与现代特色的联名产品。例如,与知名动漫、游戏品牌联名推出限量版产品,吸引年轻消费者的目光。 利用年轻人活跃的社交媒体平台进行品牌传播,如在 B 站、微博等平台开设官方账号,发布有趣、有创意的短视频和互动内容,讲述老字号的历史故事和现代创新,增强年轻消费者对老字号品牌的认知和好感,提升他们对老字号产品的购买意愿。 (3)提升联名知名度 选择具有较高知名度和影响力的品牌进行联名合作,借助合作品牌的市场影响力和粉丝群体,扩大老字号联名产品的知名度。在合作过程中,共同制定全面的品牌推广计划,整合双方的营销资源,如线上线下广告投放、明星代言、公关活动等,确保联名产品能够获得广泛的市场关注。 注重联名产品的品质和独特性,通过优质的产品体验和独特的设计,树立良好的品牌形象,提升消费者对联名产品的认可度和口碑,进而增强消费者对老字号品牌的购买意愿。 (4)强化产品创新 老字号企业应持续加大在产品创新方面的投入,建立专门的研发团队或与专业设计机构合作,深入挖掘老字号的文化内涵和传统工艺,结合现代科技和市场需求,开发出具有创新性的联名产品。例如,在产品材料、功能、包装等方面进行创新,为消费者带来全新的使用体验。 积极收集消费者反馈,通过市场调研、用户评价等方式了解消费者对产品创新的需求和期望,及时调整创新方向,确保创新成果能够有效提升消费者的购买意愿。 (5)调整营销策略以适应不同收入群体 对于月可支配收入较高但消费习惯谨慎的消费者,老字号企业应提供更加专业、详细的产品信息和品质保证,如产品的原材料来源、制作工艺细节、质量检测报告等,增强消费者对产品的信任度。同时,推出个性化的定制服务和高端产品线,满足这部分消费者对品质和独特性的追求,提升他们的购买意愿。 对于月可支配收入较低的消费者群体,可以设计一些价格亲民的联名产品系列,或者推出促销活动和优惠套餐,如组合购买、满减等,降低消费者的购买成本,扩大消费群体,提高产品的市场占有率。 (6)优化品牌形象与文化传播 虽然老字号依赖度对购买意愿影响不显著,但仍需注重品牌形象的维护和文化的传承传播。通过举办文化活动、开设博物馆或文化展馆等方式,展示老字号的历史文化和传统工艺,增强消费者对老字号品牌的认同感和情感连接。 加强品牌故事的讲述和传播,将老字号的品牌精神、传承故事融入到产品推广和品牌宣传中,塑造独特的品牌个性,提升品牌的文化价值和吸引力,从而在长期内促进消费者对老字号产品的购买意愿。 参考文献: [1]王海忠,王骏旸,罗捷彬.要素品牌策略与产品独特性评价:自我建构和产品性质的调节作用[J].南开管理评论,2012,15(4):111-117. [2]许晖,张海军,冯永春.传承还是重塑?本土老字号品牌活化模式与机制研究——基于品牌真实性与价值迁移视角[J].管理世界,2018,34(4):146-161+188. [3]Burghausen M., Balmer J., 2015, “Corporate Heritage Identity Stewardship:A Corporate Marketing Perspective”, European Journal of Marketing, 49 (1/2) , pp.22-61. [4]Romaniuk J., Dawes J., Nenycz-Thiel M., 2014, “Generalizations Regarding the Growth and Decline of Manufacturer and Store Brands”, Journal of Retailing and Consumer Services, 21 (5) , pp.725-734. [5]Vukasovic T., 2012, “Searching for Competitive Advantage with The Brand Extension Process”, Journal of Product&Brand Management, 21 (7) , pp.492-498. [6]Rose G.M., Merchant A., Orth U.R.et al., 2015, “Emphasizing Brand Heritage: Does It Work? And How?”, Journal of Business Research, 21 (3), pp.132-141. [7]何佳讯,秦翕嫣,杨清云,等.创新还是怀旧?长期品牌管理“悖论”与老品牌市场细分取向——一项来自中国三城市的实证研究[J].管理世界,2007,(11):96-107+149. |













基于Logistic模型
南阳市减少居民消
有序logit模型下
文化嵌入对区域品
消费者低碳消费行
基于MGWR模型的武
新能源汽车消费者
襄阳市现代流通体