考虑消费者心理的社交电商用户交互影响研究
|
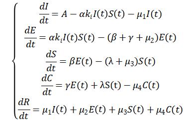
吴思凡 (东南大学,江苏 南京 210000) 摘要:社交电商集购物与社交为一体,与传统的电商平台相比,社交电商更为注重消费者的互动与反馈,因此研究消费者的交互影响至关重要。同时,相较于正面体验,消费者们通常对负面体验更为敏感且对企业的影响更为严重。基于此,本文构建了社交电商消费者交互影响的IESCR模型,并借助Matlab软件进行了数值仿真。研究结果得出,在消费者们的相互影响下,负面体验会非常迅速地传播开来并达到峰值;而企业在传播中期的干预比在传播初期的干预更有效。 关键词:社交电商;消费者心理;沉默螺旋理论;传播模型 一、引言 近年来电子商务和数字经济得到了迅速发展和壮大,在这一过程中,社交电商这种新兴的购物形式将电子商务推向了新的高潮。以消费者为核心的客户体验研究越来越成为电子商务研究的重点,目前,许多研究都将重点落在如何提高消费者的正面体验上;但快速发展之下,社交电商中的宣发文案敏感、主播言辞不当,还有产品质量不堪、价格偏高等导致消费者负面体验的现象频频出现。社交电商集社交与线上购物为一体,消费者相互之间的交流也越发紧密,许多品牌或企业的“翻车事件”极大地影响了公众的消费体验,对消费者的心理和行为决策起着重要作用,进而影响企业和市场的良性发展。 与在传统商店购物不同,社交电商的客户体验具有不确定性、线上交互性、相互影响性、快速传播性等特点。而已有大量文献表明,决策者通常对损失的敏感度要高于获得,即表明消费者对负面信息的敏感程度通常高于正面信息;同时,消费者个体会与其他消费者进行交互,相互影响,特别是社交电商除了购物还有体验性质的功能,社交电商场景下的消费者本身就会追求体验上的感受,这就会推动消费者去参考同类人的反馈并被同类人所影响,产生心理变化,从而改变行为。不过,现有的研究往往并没有深入探讨消费者之间相互影响的心理和过程,而这一过程有可能是导致消费者购买行为产生或终止的关键原因。另一方面,目前还没有较为成形的考虑消费者心理的理论来研究消费者的负面体验及消费者之间的相互影响。 本文将基于沉默螺旋理论来考虑社交电商消费者面对负面体验时的心理,并通过改进的传染病模型和数值仿真来模拟消费者的交互影响,探讨各类群体之间不同的转化概率对传播过程的不同影响。研究得出,消费者之间的交互影响会使得负面体验快速扩散开来;而企业在传播中期的干预比在传播初期的干预更有效,为企业应对负面体验危机或预防消费者群体爆发负面体验危机提供了相应的建议。 二、文献综述及相关理论 1.社交电商研究现状 社交电商正逐渐成为全球人们日常生活中必不可少的元素,在线消费者的数量正在大幅增长[1]。以拼多多为代表的拼购类社交电商、以小红书为代表的内容类社交电商等均借助平台优质的互动性进行网络引流与变现,探索消费者价值感知与价值共创。在社交电商领域的研究成果中,绝大部分集中于研究社交电商的特征、商业营销模式以及发展现状分析[2]。 目前,社交电商存在许多风险,例如,消费者可能会通过直播电商购买到假货,而包括直播在内的大多数社交电商的回报率都非常高[3]。因此,在这个领域进行治理研究是很重要的,随着社交电商研究的不断增多和网络购物市场规模的不断扩大,治理研究将是未来社交电商研究的主要趋势。在社交电商研究的未来不断变化的同时,相关的重点理论也进行了适当的变化。例如,要关注基于大数据分析的社交商务的驱动力,就需要社会互动和社会传染的理论。 2.消费者相互影响的研究 消费者之间的相互影响指的是由于消费者觉察到了其他消费者的行为,比如线上评论、弹幕等,自己的情绪有意或无意地受到了影响,继而引发了与他人相同或类似的行为或观点。于毅等[4]指出情绪感染兼具动态和双向性,并且个体反应会影响自身和他人的态度变化,同时通过组织或集体的作用发挥成为群体的态度。魏艳秋等[5]通过研究脑神经同步问题发现社会互动情境中人们会有意识地进行情绪感染。Hong等[6]指出,无论是在虚拟网络空间还是在物理网络空间,人们都极易通过信息互动受到情绪感染。 消费者的相互影响并不仅仅是一种简单的模仿现象,而是一种涉及人际同步、具有动态性和交互性的社会行为,其效果会受到互动过程中的社会环境、观察者和目标者的亲密程度、人际或群际关系、观察者的社会意图等因素的调节[7],与人际互动相互交织、密不可分。刘春晓等[8]研究得出群体情绪传染更多的是群体内成员的网状传递过程。汪祚军等[9]通过研究个体情绪会被放大从而解释了集体欢腾的现象。Shira等[10]指出集体仪式会使参与的个体产生注意体验上的高度一致和情绪体验上的极度兴奋。 之前的一些工作已经研究了社会网络中情绪传染的过程。Bosse等人首先提出了ASCRIBE模型,该模型假设个体之间的情绪传染过程类似于热力学中研究的散热现象。随后,许多研究者利用基于流行病学的方法研究了情绪传染的过程。例如,Durupınar等[11]提出了一种概率阈值模型,该模型假设易感个体在与受感染个体接触时可能被传染。不过,现有的研究没有考虑到现实世界的因素,比如个体的个性和心理,然而这些因素对于社交电商场景下的负面体验相互影响都是至关重要的。 3.沉默螺旋理论 德国政治学者伊丽莎白.诺力.纽曼提出的沉默螺旋理论,解释了处于群体中的人的心理行为会随着群体动向的变化而变化。他认为,人作为一种社会存在会自动地融入社会,融入人群之中。因此在发表观点和态度时,首先考虑的是周围大多数人的意见,人们会把自身的观点或态度有意无意地向周围大多数人靠拢,以求和大家的意见保持一致。站在少数人意见一方的人们在集体探讨该议题时,通常会保持沉默或中立。如果舆论更加不利于他们的观点,此类人群会更加沉默,而越是沉默,他们所代表的意见和观点越不被人所理解,进而被其他观点所淹没,导致不同意见或者不同观点最终会消失在群体意见的浪潮之中。沉默螺旋理论效应在网络世界中有更好的体现,随着事件地不断发展,多种意见充斥在网络空间中,一些别有用心的意见领袖或者强势媒体基于各种目的不断地加重影响,形成最为响亮的意见,就会对群体内成员造成非常大的影响,持有不同意见的成员会逐渐保持沉默;最后,附议者数量越来越多,少数派意见就己经淹没,网络中只有一种意见,那就是强势意见,此时就出现了网络群体极化现象。 三、社交电商消费者交互影响的IESCR模型构建 1.提出假设 在现实的社交电商购物场景中,潜在消费者们在初次了解到有关负面购物体验的事件发生时,一般会因为信息模糊或怀疑等原因而处于观望状态。因此,本文借助于经典的谣言传播ISR模型,通过引入观望者变量E,构建了社交电商消费者负面体验信息交互传播的IESCR模型,然后对模型进行相关的理论分析,最后利用Matlab R2022b展开数值仿真模拟。当消费者参与某一企业或品牌的负面体验事件时,由于对当前市场信息犹豫不决,不会轻易产生传播行为,而通过信息的交互与搜索,其很容易受到周围不同消费者体验信息的影响而转化为观望状态。此时,消费者可能会根据自身所了解到的信息,对事件的性质加以判断,进而选择性地传播或保持沉默,也可能对讨论不感兴趣而直接退出该事件的争议,当然还可能因久久不能抉择或由于看热闹的心态而维持观望状态。概念模型如图1所示: ![]() 图1 传播概念图 首先,考虑到社交电商平台信息传播过程的复杂性,本文作出如下假设: 假设1:当社交电商消费者群体中发生负面体验事件时,该特定社交电商平台的用户均为潜在消费者,同时,随着消费者们的交互影响以及负面体验事件的扩散,会有新进入的其他消费者。 假设 2:接触到负面体验信息的潜在消费者会全部转为观望者。 假设3:将社交电商平台上了解到负面体验信息的观望者划分为两类:负面体验传播者和沉默者,其中,负面体验传播者会对周围消费者的心理产生影响。 假设4:在社交电商平台负面体验事件的总人数N中,通过各种类人数占比描述其各自人数的变化,令潜在消费者、观望者、负面体验传播者、沉默者、兴趣失去者在任意时刻的数量比例分别为I(t)、E(t)、S(t)、C(t)、R(t),有 I(t)+E(t)+S(t)+C(t)+R(t)=1+A。其中,A表示时刻其他消费者进入特定负面体验事件的进入率。 假设5:参考文献[12]的研究成果,假设社交电商平台的用户网络与该文献中的微博用户网络结构相似。因此,本文以节点度服从P(k)~k-2的无标度网络为基础构建模型并进行仿真模拟。 2.构建模型 为了更加全面地刻画社交电商消费者负面情绪的传染过程,本文构建了社交电商消费者体验信息交互传播IESCR模型。模型的相关参数设置如下:代表社交电商的潜在消费者在接触负面信息时被感染进而处于观望状态的概率。用表示从观望状态转化为传播状态概率,用γ表示从观望状态转化为沉默状态概率,用λ表示负面体验传播者向沉默者转移的概率。 U1、U2、U3、U4分别代表潜在消费者、观望者、负面情绪传播者、沉默者转化为兴趣失去者的概率,每一类人都有可能转化为兴趣失去者可以有以下几种解释:第一,存在一部分消费者不在意周围人的讨论,因而会在最初就对事件失去兴趣;第二,消费者会因为信息纷杂而混乱在初步了解阶段就失去兴趣;第三,消费者会因为自己的意见与周围人不同而失去继续关注的兴趣。用 图2 传播示意图 因此,根据以上假设和规则,可列状态转移的微分方程组如下: ![]() 3.基本再生数 基本再生数R0是任何一个传播系统的关键指标,其代表的含义是一个具有传播可能性的人在平均传播周期内所能传播到的易感者的人数,是用于判断信息能否进一步扩散的关键阈值。当R0大于1 时,代表单位时间内一个潜在传播者可传播的人数大于1;当R0小于1时,代表单位时间内一个潜在传播者可传播的人数小于1;只有当R0小于1时,零传播平衡点才能达到稳定状态,此时,信息将不再传播。 ![]() 4.零平衡点稳定性 劳斯判据可以在不求解方程的情况下判断系统的稳定性。若特征值皆具有负实部则系统稳定,因此该判据通过特征方程来判断特征值在复平面上的位置,以此判断系统的稳定性。上述构建的模型的雅可比矩阵的行列式为: ![]() 四、仿真分析 参考文献[12]的参数设置,本文设置初始潜在消费者、观望者、负面体验传播者、沉默者、兴趣失去者占总人数的比例分别为(0)=0.99、E(0)=0、(0)=0.01、C(0)=0、(0)=0;并设置A=0.001。潜在消费者转为观望者、兴趣失去者的概率分别为 =0.9、1=0.1;观望者转为负面体验传播者、沉默者、兴趣失去者的概率分别为=0.85、γ=0.1、2=0.05;负面体验传播者转为沉默者、兴趣失去者的概率分别为λ=0.05、3=0.05;沉默者转为兴趣失去者的概率为4=0.2。仿真结果如图3所示: ![]() 图3(左) 仿真结果 图4(右) 不同下的负面体验传播者的变化曲线 通过图4可以得出,不同传播概率下的负面体验传播者的变化趋势相似,达到峰值所需的时间也相似,均能在相当短的时间内达到峰值,不过,不同传播概率下达到的峰值不一样,传播概率越大,峰值越高,即传播峰值与传播概率成正相关。由此可以得出,当负面体验事件发生时,企业单一地降低观望者转向负面体验传播者的概率不会对传播过程的趋势造成太大的影响,不能起到快速扼制传播的作用,只能有限地降低传播的峰值。 ![]() 图5(左) 不同下的负面体验传播者的变化曲线 图6(右) 不同λ下的负面体验传播者的变化曲线 由图5所示,通过改变潜在消费者转向观望者的概率,根据仿真数据可以看出随着的降低,传播者的峰值也会随之降低;且和图4相比,传播者的峰值降低得更为明显,说明在传播前降低转向观望者的比例比在传播初降低转向负面体验传播者的比例要有效。 通过图6的描绘,可以看出随着负面体验传播者向沉默者的转化概率变大,传播者比例的峰值大幅度降低的同时走向也逐渐平缓,同时,传播过程中达到峰值所需的时间也在减少。如果企业能在负面体验事件传播过程中适时地干预,使得更多的传播者转向沉默者,那么负面体验的传播将会在消费者群体中得到有效的控制。 五、总结与展望 本文结合社交电商消费者在群体中的心理变化构建了社交电商消费者交互影响的IESCR模型。通过对社交电商消费者交互影响的建模和仿真,可以得出当消费者群体的负面体验产生,在很短的时间内,这种负面体验就会在群体中飞速发酵和传播并达到峰值。因此,企业若想有效地遏制负面体验的扩散,应及时把握时间,在潜在消费者还未转为观望者之前就采取相应的措施以减少参与传播过程的人数,通过降低观望者的比例能有效地控制负面体验在消费者之间的交互影响。 另一方面,仿真数据曲线显示,直接降低观望者转向传播者的概率并不能非常明显地抑制负面体验的传播;而本文研究发现在传播过程中提高传播者转向沉默者的概率对于控制负面体验在消费者群体中的交互影响更为有效。这就要求企业在传播发生后进行适当的干预,从而转变传播者的想法。 消费者负面体验的传播往往是基于社交电商平台的发帖、互动、评论等,通常是以文本等方式呈现,本文尚未结合具体实例研究,未来将针对文本内容进行主题识别等研究以更好地研究社交电商消费者之间交互影响的机理,为研究消费者的心理行为提供更准确的数据支撑。 参考文献: [1]Samed A A ,Husam Y .Solving the product uncertainty hurdle in social commerce: The mediating role of seller uncertainty[J].International Journal of Information Management Data Insights,2023,3(1):100169. [2]Wenjin Zhao, Fang Hu, Jun Wang, Tao Shu, Yun Xu, A systematic literature review on social commerce: Assessing the past and guiding the future, Electronic Commerce Research and Applications, Volume 57, 2023, 101219, ISSN 1567-4223. [3]王胜源,李娇玲.国内外社交电商研究热点与演进脉络——基于CiteSpace的文献计量分析[J].新媒体研究,2023,9(19):18-28. [4]于毅,陈传明.数智时代工作场域的情绪感染:一个跨层的动态模型[J].管理现代化,2023,43(5):66-74. [5]魏艳秋,陈晶露,徐晓惠等.社会互动视角下的有意识情绪感染[J].心理科学,2023,46(1):130-136. [6]Xiao H ,Guijuan Z ,Dianjie L .Control Strategies for Crowd Emotional Contagion Coupling the Virtual and Physical Cyberspace in Emergencies[J].IEEE Access,2020,837712-37726. [7]Wróbel M .I can see that you’re happy but you’re not my friend : Relationship closeness and affect contagion[J].Journal of Social and Personal Relationships,2018,35(10):1301-1318. [8]刘春晓,刘立志,王丹等.集体仪式促进群体情绪感染的机制[J].心理科学进展,2022,30(8):1870-1882. [9]汪祚军,侯怡如,匡仪等.群体共享情绪的放大效应[J].心理科学进展,2017,25(4):662-671. [10]Shira G ,Esha N ,Elaine P , et al.Creating the sacred from the profane: Collective effervescence and everyday activities[J].The Journal of Positive Psychology,2020,15(1):129-154. [11]Funda D ,Ugur G,Aytek A, et al.Psychological Parameters for Crowd Simulation: From Audiences to Mobs.[J].IEEE transactions on visualization and computer graphics,2016,22(9):2145-59. [12]王明珠,郭林江,刘怡君.考虑网民心理因素的网络舆情干预时机研究[J].中国管理科学,2025,33(6):140-150. [13]Driessche D V P ,Watmough J .Reproduction numbers and sub-threshold endemic equilibria for compartmental models of disease transmission[J].Mathematical Biosciences,2002,180(1):29-48. |












基于Logistic模型
南阳市减少居民消
考虑消费者心理的
食用酵素产品消费
新质生产力视角下
新发展格局下广东
河南省生鲜农产品
在线评论与种草文